FAQs Complain Problems

सुचना तथा समाचार

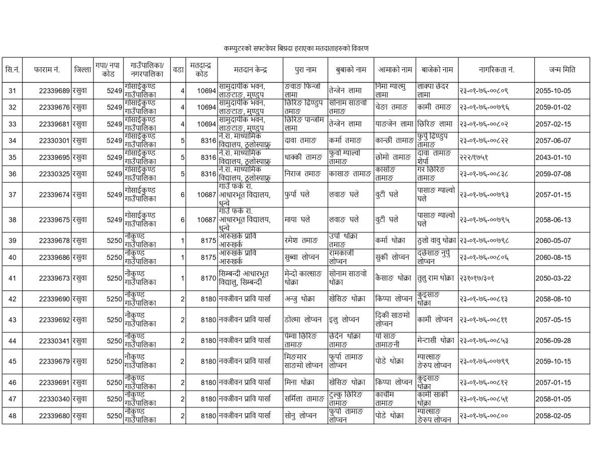
जिल्ला निर्वाचन आयोगको सूचना टाँस गरिएको सम्बन्धमा।

It appears your Web browser is not configured to display PDF files. Download adobe Acrobat or click here to download the PDF file.

Click here to download the PDF file.

आर्थिक वर्ष:

//